Вернуться к содержанию учебника
Выберите год учебника
Стр. 94 учебника 2011-2022:
1. (Устно.) Вычисли.
450 - 30 • 4 + 70 : 10
280 : 7 + 160 • 5 + 70
650 + 350 - 80 : 2 • 5
180 + 20 • 6 - 75 : 25
Стр. 94 учебника 2023-2024:
1. В каком случае сложение можно заменить умножением? Покажи на примерах.
Стр. 94 учебника 2011-2022:
Решение
450 - 30 • 4 + 70 : 10 = 337
280 : 7 + 160 • 5 + 70 = 910
650 + 350 - 80 : 2 • 5 = 800
180 + 20 • 6 - 75 : 25 = 297
Пояснение
|
1) 30 • 4 = 120 2) 70 : 10 = 7 3) 450 - 120 = 330 4) 330 + 7 = 337 |
|
1) 280 : 7 = 40 2) 160 • 5 = 800 3) 40 + 800 = 840 4) 840 + 70 = 910 |
|
1) 80 : 2 = 40 2) 40 • 5 = 200 3) 650 + 350 = 1000 4) 1000 - 200 = 800 |
|
1) 20 • 6 = 120 2) 75 : 25 = 3 3) 180 + 120 = 300 4) 300 - 3 = 297 |
Стр. 94 учебника 2023-2024:
Умножением можно заменить сумму одинаковых слагаемых:
5 + 5 + 5 + 5 = 5 • 4 = 20;
7 + 7 + 7 = 7 • 3 = 21.
Выберите год учебника
Стр. 94 учебника 2011-2022:
2. 980 - (150 + 30) : 30
1 600 + (470 - 70) • 3
400 • 3 - (750 - 550) • 4
820 + (1 420 - 1 400) • 8
Стр. 94 учебника 2023-2024:
2. Какими знаками обозначаются умножение и деление и как называются выражения, в которых числа соединены знаком умножения? знаком деления?
Стр. 94 учебника 2011-2022:
Решение
980 - (150 + 30) : 30 = 974
1 600 + (470 - 70) • 3 = 2 800
400 • 3 - (750 - 550) • 4 = 400
820 + (1 420 - 1 400) • 8 = 980
Пояснение
|
1) 150 + 30 = 180 2) 180 : 30 = 6 3) 980 - 6 = 974 |
|
1) 470 - 70 = 400 2) 400 • 3 = 1200 3) 1600 + 1200 = 2800 |
|
1) 750 - 550 = 200 2) 400 • 3 = 1200 3) 200 • 4 = 800 4) 1200 - 800 = 400 |
|
1) 1420 - 1400 = 20 2) 20 • 8 = 160 3) 820 + 160 = 980 |
Стр. 94 учебника 2023-2024:
Знаки умножения: • и х.
Знак деления: :.
Выражение, в котором числа соединены знаком умножения, называется произведение.
Выражение, в котором числа соединены знаком деления, называется частное.
Выберите год учебника
Стр. 94 учебника 2011-2022:
3. (860 + 40) - (560 - 60) : 100
(920 - 50) + (480 + 24) : 6
2 400 - (270 + 30) • (400 - 396)
510 • 6 - (780 - 20) + (230 + 470)
Стр. 94 учебника 2023-2024:
3. Покажи, как умножение можно заменить сложением.
| 7 • 3 | 38 • 4 | 156 • 2 | 9 • 6 |
Стр. 94 учебника 2011-2022:
Решение
(860 + 40) - (560 - 60) : 100 = 895
(920 - 50) + (480 + 24) : 6 = 786
2 400 - (270 + 30) • (400 - 396) = 1 200
510 • 6 - (780 - 20) + (230 + 470) = 3 000
Пояснение
|
1) 860 + 40 = 900 2) 560 - 60 = 500 3) 500 : 100 = 5 4) 900 - 5 = 895 | ||||||||||||||||||||||||||||||||||||||||||||||||||||||||||||||
|
1) 920 - 50 = 870 2) 480 + 24 = 504
| ||||||||||||||||||||||||||||||||||||||||||||||||||||||||||||||
|
1) 270 + 30 = 300 2) 400 - 396 = 4 3) 300 • 4 = 1 200 4) 2 400 - 1 200 = 1 200 | ||||||||||||||||||||||||||||||||||||||||||||||||||||||||||||||
|
1) 780 - 20 = 760 2) 230 + 470 = 700 3) 510 • 6 = 3 060 4) 3 060 - 760 = 2 300 5) 2 300 + 700 = 3 000 |
Стр. 94 учебника 2023-2024:
Решение
7 • 3 = 7 + 7 + 7
38 • 4 = 38 + 38 + 38 + 38
156 • 2 = 156 + 156
9 • 6 = 9 + 9 + 9 + 9 + 9 + 9
Пояснение
Умножением можно заменить на сумму одинаковых слагаемых.
Выберите год учебника
Стр. 94 учебника 2011-2022:
4. Поставь скобки, чтобы равенства были верными.
| 24 + 36 : 2 • 3 = 30 | 20 • 9 - 6 : 3 = 58 |
| 24 + 36 : 2 • 3 = 90 | 20 • 9 - 6 : 3 = 140 |
| 24 + 36 : 2 • 3 = 126 | 20 • 9 - 6 : 3 = 20 |
Стр. 94 учебника 2023-2024:
4. Вставь знак >, < или = так, чтобы получилось верное равенство или неравенство.
37 • 4 + 5
37 • 5
68 • 7
68 • 7 + 68
7 • 9
7 • 10 - 7
Стр. 94 учебника 2011-2022:
Решение
24 + 36 : (2 • 3) = 30
(24 + 36) : 2 • 3 = 90
(24 + 36 : 2) • 3 = 126
(20 • 9 - 6) : 3 = 58
20 • (9 - 6 : 3) = 140
20 • (9 - 6) : 3 = 20
Пояснение
|
1) 2 • 3 = 6 2) 36 : 6 = 6 3) 24 + 6 = 30 |
|
1) 24 + 36 = 60 2) 60 : 2 = 30 3) 30 • 3 = 90 |
|
1) 36 : 2 = 18 2) 24 + 18 = 42 3) 42 • 3 = 126 |
|
1) 20 • 9 = 180 2) 180 - 6 = 174 3) 174 : 3 = 58 |
|
1) 6 : 3 = 2 2) 9 - 2 = 7 3) 20 • 7 = 140 |
|
1) 9 - 6 = 3 2) 3 : 3 = 1 3) 20 • 1 = 20 |
Стр. 94 учебника 2023-2024:
Решение
37 • 4 + 5 < 37 • 5
68 • 7 < 68 • 7 + 68
7 • 9 = 7 • 10 - 7
Пояснение
| 37 • 4 + 5 < 37 • 5, так как 37 • 5 = 37 • 4 + 37 и 5 < 37 |
| 68 • 7 < 68 • 7 + 68, так как 68 • 7 + 68 = 68 • 8 и 7 < 8 |
| 7 • 9 = 7 • 10 - 7, так как 7 • 9 = 7 • 9 |
Выберите год учебника
Стр. 94 учебника 2011-2022:
5.
| a | 320 | ||
| b | 80 | 90 | |
| a + b | 290 | ||
| a - b | 120 | 230 |
| c | 20 | 80 | |
| d | 5 | ||
| c • d | 80 | ||
| c : d | 8 | 8 |
Стр. 94 учебника 2023-2024:
5. Как называются при умножении и делении данные числа и число, которое получается в результате выполнения действия?
Стр. 94 учебника 2011-2022:
Решение
| a | 200 | 200 | 320 |
| b | 80 | 90 | 90 |
| a + b | 280 | 290 | 410 |
| a - b | 120 | 110 | 230 |
| c | 20 | 40 | 80 |
| d | 4 | 5 | 10 |
| c • d | 80 | 200 | 800 |
| c : d | 5 | 8 | 8 |
Пояснение
Чтобы найти уменьшаемое, нужно к разности прибавить вычитаемое:
120 + 80 = 200.
Чтобы найти вычитаемое, нужно из уменьшаемого вычесть разность:
320 - 230 = 90.
Чтобы найти первое слагаемое, нужно из суммы вычесть второе слагаемое:
290 - 90 = 200.
Чтобы найти сумму, нужно к первому слагаемому прибавить второе слагаемое:
200 + 80 = 280;
320 + 90 = 410.
Чтобы найти разность, нужно из уменьшаемого вычесть вычитаемое:
200 - 90 = 110.
Чтобы найти второй множитель, нужно произведение разделить на первый множитель:
80 : 20 = 4.
Чтобы найти делимое, нужно частное умножить на делитель:
8 • 5 = 40.
Чтобы найти делитель, нужно делимое разделить на частное:
80 : 8 = 10.
Чтобы найти частное, нужно делимое разделить на делитель:
20 : 4 = 5.
Чтобы найти произведение, нужно первый множитель умножить на второй множитель:
40 • 5 = 200;
80 • 10 = 800.
Стр. 94 учебника 2023-2024:
8 (первый множитель) • 5 (второй множитель) = 40 (произведение)
40 (делимое) : 8 (делитель) = 5 (частное)
Выберите год учебника
Стр. 94 учебника 2011-2022:
6. Найди значения выражений.
1) а + 320 и а - 320, если
а = 320; а = 400;
2) 720 • b и 720 : b, если
b = 1; b = 2.
Стр. 94 учебника 2023-2024:
6. Прочитай, используя различные словесные формулировки, следующие равенства:
| 18 • 3 = 54 | 128 : 4 = 32 |
Стр. 94 учебника 2011-2022:
Решение
1) Если
= 320, то
+ 320 = 320 + 320 = 640
- 320 = 320 - 320 = 0
Если
= 400, то
+ 320 = 400 + 320 = 720
- 320 = 400 - 320 = 80
2) Если b = 1, то
720 • b = 720 • 1 = 720
720 : b = 720 : 1 = 720
Если b = 2, то
720 • b = 720 • 2 = 1440
720 : b = 720 : 2 = 360
Пояснение
Чтобы найти значение буквенного выражения, нужно в это выражение вместо буквы подставить данные числа и выполнить вычисления.
Если уменьшаемое и вычитаемое равны, то разность равна нулю.
Если один из двух множителей равен 1, то произведение равно другому множителю.
Если число разделить на 1, то получится число, которое делили.
Стр. 94 учебника 2023-2024:
18 • 3 = 54
1) 18 умножить на 3 равно 54.
2) Произведение 18 и 3 равно 54.
3) Первый множитель 18, второй 3, произведение 54.
4) 18 умножить на 3, получится 54.
128 : 4 = 32
1) 128 разделить на 4 равно 54.
2) Частное 128 и 4 равно 32.
3) Делимое 128, делитель 4, частное 32.
4) 128 разделить на 4, получится 32.
Выберите год учебника
Стр. 94 учебника 2011-2022:
7. Вычисли.
1) 8 014 - 132 • 54 + 4 4892 : 36
7 068 + 93 840 : 46 - 506 • 18
1 285 - 282 • 75 : 47 + 14 472 : 18

Стр. 94 учебника 2023-2024:
7. Составь и реши задачи на умножение и деление, используя слова: "Купили ... вещей по цене ... р.", "Сколько раз по ... содержится в ...?", "Сколько получится в каждой части, если ... разделить на ... равных частей?", "... больше в ... раз", "... меньше в ... раз", "Во сколько раз ... больше, чем ...?", "... в ... раз меньше, чем ...".
Стр. 94 учебника 2011-2022:
Стр. 94 учебника 2023-2024:
Стр. 94 учебника 2011-2022:
Решение
1) 8 014 - 132 • 54 + 44 892 : 36 = 2 133
7 068 + 93 840 : 46 - 506 • 18 = 0
1 285 - 282 • 75 : 47 + 14 472 : 18 = 1639

Пояснение
1)
|
| |||||||||||||||||||||||||||||||||||||||||||||||||||||||||||||||||||||||||||||||||||||||||||||||||||||||||||||||||||||||||||||||||||||||||||||||||||||||||||||||||||||||||||||||||||||||||||||||||||||||
|
4) 9108 - 9108 = 0 | |||||||||||||||||||||||||||||||||||||||||||||||||||||||||||||||||||||||||||||||||||||||||||||||||||||||||||||||||||||||||||||||||||||||||||||||||||||||||||||||||||||||||||||||||||||||||||||||||||||||
|
|
2)
|
| ||||||||||||||||||||||||||||||||||||||||||||||||||||||||||||||||||||||||||||||||||||||||||||||||||||||||||||||||||||||||||||||||||||||||||||||||||||||||||||||||||||||||||||||||||||||||||||||||||||||||||||||||||||||
|
| ||||||||||||||||||||||||||||||||||||||||||||||||||||||||||||||||||||||||||||||||||||||||||||||||||||||||||||||||||||||||||||||||||||||||||||||||||||||||||||||||||||||||||||||||||||||||||||||||||||||||||||||||||||||
|
4) 47 502 - 47 000 = 502
| ||||||||||||||||||||||||||||||||||||||||||||||||||||||||||||||||||||||||||||||||||||||||||||||||||||||||||||||||||||||||||||||||||||||||||||||||||||||||||||||||||||||||||||||||||||||||||||||||||||||||||||||||||||||
|
|
Стр. 94 учебника 2023-2024:
Вариант ответа #1:
Купили 8 тетрадей по цене 20 р. Какова стоимость всей покупки?

Сколько раз по 6 содержится в 54?
54 : 6 = 9 (раз)
Ответ: в 54 содержится 9 раз по 6.
В ателье имеется 48 м ткани. Сколько метров ткани получится в каждой части, если всю имеющуюся ткань разделить на 8 равных частей?

У Кати 9 красных шаров, а синих в 3 раза больше. Сколько у Кати синих шаров?

У Ани в коллекции 30 марок, а у Коли в 3 раза меньше. Сколько марок в коллекции у Коли?

В музыкальный кружок ходит 20 детей, а в танцевальный - 10 детей. Во сколько раз в музыкальном кружке больше детей, чем в танцевальном?

У Артема 8 фломастеров, что в 3 раза меньше, чем У Дениса. Сколько фломастеров у Дениса?

Вариант ответа #2:
Решение
1. Купили 15 вещей по цене 5 р. Какова стоимость всей покупки?
5 • 15 = 75 (р.)
Ответ: стоимость всей покупки - 75 р.
2. Сколько раз по 5 содержится в 25?
25 : 5 = 5 (р.)
Ответ: 5 раз по 5 содержится в 25.
3. Сколько получится в каждой части, если 40 разделить на 5 равных частей?
40 : 5 = 8
Ответ: в каждой части получится по 8.
4. В 1 группе занималось 10 детей, а в другой в 2 раза больше. Сколько детей занималось во 2 группе?
10 • 2 = 20 (д.)
Ответ: 20 детей занималось во 2 группе.
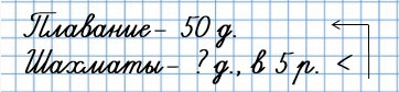
5. Плаванием занималось 50 детей, а шахматами - в 5 раз меньше. Сколько детей занималось шахматами?
50 : 5 = 10 (д.)
Ответ: шахматами занималось 10 детей.
6. Во сколько раз 35 больше, чем 5?
35 : 5 = 7 (р.)
Ответ: 35 больше, чем 5, в 7 раз.
7. Искомое число в 8 раз меньше, чем 96. Какое число задумали?
96 : 8 = 12
Ответ: искомое число - 12.
Пояснение
1.

4.

5.

8. Что получится, если 1) произведение двух чисел разделить на один из множителей; 2) умножить делитель на частное; 3) разделить делимое на частное?
9. 1) Объясни два способа проверки умножения и деления.
| 14 • 6 = 84 | Проверка: 84 : 6 = 14 84 : 14 = 6 |
| 98 : 7 = 14 | Проверка: 14 • 7 = 98 98 : 14 = 7 |
2) Вычисли и сделай проверку.
| 356 • 8 | 45 360 : 9 |
1) Проверка умножения:
- Можно произведение разделить на один из множителей и в результате деления должен получиться другой множитель.
Проверка деления:
- можно делимое разделить на частное и в результате деления должен получится делитель;
- можно частное умножить на делитель и в результате умножения должно получиться делимое.
2)
![]() |
![]() |
Ребус

Повтори случаи табличного умножения.
Вернуться к содержанию учебника